Journal of Unification Studies Vol. 11, 2010 - Pages 185-198
Unification Thought and physics both attempt to provide explanations for the nature of existence, but they begin from different perspectives. Unification Thought begins from a religious perspective and physics from a scientific viewpoint. However if both embody some degree of truth, then we might expect there to be some congruence in explanation concerning physical existence. Though both areas use different terminology, Unification Thought makes use of numerous examples drawn from science, and the correspondence with how things are observed to exist is important in Unification Thought just as it is in science. So connections and correlations between the two areas are to be expected.
My previous work in Unification Thought has led me to believe that its ontology provides the best platform from the religious side to explore connections to science.[1] In particular this is because Unification Thought’s ontology has a definite structure that is amenable to the more precise definition of terms that is a hallmark of scientific explanation. From the scientific side I begin here from classical physics.[2] There are several reasons to begin from classical physics, but perhaps the most important is that classical physics, like Unification Thought, provides an intuitive structure from the perspective of the scale of human perception. With its description of particles and forces, classical physics would seem to be particularly well suited to comparison with the ontology of Unification Thought. Quantum mechanics and relativity, on the other hand, are counter-intuitive at very small and very large scales, although both reduce to the intuitive structure at the human scale. Moreover, since we are just laying the groundwork here, starting at the simplest level with fundamental principles of physics and Unification Thought seems most appropriate.
One of the most important points about the ontology of Unification Thought is that existence is seen to be fundamentally relational, and the beginning point is to describe this relational character. This is in accord with the understanding of existence derived from physics. Though not usually explained in relational terms, the view of existence derived from physics does in fact describe existence in terms of a series of different levels of relationship. Understanding relationship is thus important from the perspective of both fields. Now in order to have any kind of relationship between existing beings, there must be an interaction between them. Classically in physics that means the operation of some kind of force. Force is thus an integral part of addressing relationship in general, and we will begin from this point.
Force
Force in Physics
In classical physics we are dealing with interacting particles of matter, where matter, following the time honored definition, is anything that has mass and occupies space. The structure of the particles is not addressed. Newton ’s three laws of motion describe the motions of these particles.
- First Law: Every object in a state of uniform motion tends to remain in that state of motion unless an external force is applied to it.
- Second Law: The relationship between an object's mass m, its acceleration a, and the applied force F, is .
- Third Law: For every action there is an equal and opposite reaction.
In these laws there is in addition to mass and motion the concept of force. Force here is a “push” or “pull” acting on the particle of matter. There are two kinds of force: contact forces and forces that operate through the interaction of the particle with a field. Quantum mechanically even contact forces reduce to fields, so in our discussion here we will focus on the field type of force. Importantly, force is not directly a property of the particle itself, unlike mass or electrical charge. Rather force is the interaction with something else, such as a field, outside of the particle. The field in this interaction can, in general, be associated with another particle, so the concept of relationship is built into the theory from the start, even if not explicitly stated as such.
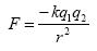
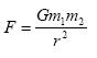
Today natural science recognizes four physical interactions, but for classical physics two were important: the gravitational and the electromagnetic. The two nuclear interactions were discovered later and are described quantum mechanically. Newton derived an equation for the gravitational force acting between two particles of mass m1 and m2 separated by a distance r:
(1)
where G is the universal gravitational constant. For two charged particles q1 and q2 separated by a distance r there is an equivalent formula derived by Coulomb for the electrostatic force acting between them:[3]
(2)
where k is a constant that depends on the properties of free space. The electrostatic force can be repulsive for like charges or attractive for opposite charges. Both of these equations have the same general form as the product of a property of the two particles divided by the square of the distance between them. Division by r2, or the inverse square law, is a function of these interactions occurring in three spatial dimensions.[4]
Classical mechanics takes this one step further in its discussion of fields. Each particle of mass m or charge q is seen to be surrounded by a gravitational or electric field. This field is defined in terms of the force exerted on a small standard test particle at different positions in space around the larger particle, and may be calculated by Newton ’s or Coulomb’s equation. For the purposes of this calculation, the test particle is considered to be sufficiently small so as not to disturb the field of the larger particle. Physics tends to leave the description of relationship here and to focus on the interaction of individual particles with a field.
Force in Unification Thought
In physics, since the development of mechanics and thermodynamics in the nineteenth century a clear distinction is made between the concepts of force and energy. Divine Principle and the Unification Thought texts, however, do not make such a clear distinction and tend to use the terms, and their meanings, interchangeably. Consider, for example, this sentence from Exposition of the Divine Principle: “Universal prime energy is a vertical force while the forces generated by give and take action are horizontal forces.”[5] The newest Unification Thought text in English, New Essentials of Unification Thought, does begin to make this distinction in meaning.
In the chapter on Ontology Dr. Lee acknowledges the role of force in relationship:
|
When a correlative relationship of subject and object is formed centering on a common purpose … there comes about an action of giving and receiving a certain element or force.[6] |
Moreover he equates that force with the forces recognized by physics:
|
The solar system is another example: the sun and the planets have existed in a correlative relationship for 4.6 billion years, giving and receiving through universal gravitation whereby the planets are revolving around the sun and in this way they maintain the solar system.[7] |
However, the text seems to be suggesting that this force is a part of the give-and-receive relationship between subject and object that comes after a reciprocal relationship is established. In other words, it appears that Dr. Lee is saying that the reciprocal relationship is established first, and then the force is generated. On the surface this seems to be quite different from the understanding of force in classical physics, where force establishes relationship. Moreover, Dr. Lee explains that the forces operating in the physical realm derive from forces operating in the Original Image, but in the description of the Original image we lose some of the distinction between force and energy.
In the outer base of the Original Image, Dr. Lee suggests that give-and-receive action between Original Sungsang and Original Hyungsang generates forming energy and acting energy, where forming energy becomes particles and acting energy acts on all things. Acting energy is then manifested as the force that causes give-and-receive action.[8] The text goes on to call this causal force Prime Force, and when it acts between existing beings calls it Universal Prime Force. Universal Prime Force then acts in the created realm and would seem to be related to the four physical interactions. In this explanation we lose the clear distinction between force and energy, since the distinction between acting energy and Prime Force is not clear. It almost seems as if acting energy is equivalent to Prime Force. Moreover, since acting energy is the result of give-and-receive action, it still seems as if force is a result of that action.
Relationship
Relationship in Divine Principle and Unification Thought
The underlying ontology of Divine Principle and Unification Thought is relational. The explanation in Divine Principle begins from two sets of dual characteristics. The existence and actions of a being derives from the relationship of the dual characteristics both within and between beings.
|
Through the agency of universal prime energy, the subject and object elements of every entity form a common base and enter into interaction. This interaction, in turn, generates all the forces the entity needs for existence, multiplication and action. The interaction generating these forces through this process is called give and take action.[9] |
Subject and object are seen as the relation of internal and external, cause and result, vertical and horizontal. Sungsang and yang are subject, and hyungsang and yin are object. In the give-and-take action the object partner revolves around the subject partner in a circular motion. The subject is thus the center of the circular motion and the center of the relationship.[10] Besides the circular motion of the give-and-take relationship of subject and object, since they in turn have dual characteristics that have a give-and-take relationships, there is consequently circular motion within both subject and object too.
In the discussion above, the observation was made that Exposition of the Divine Principle does not distinguish the terms “force” and “energy” but uses them interchangeably. The passage quoted is therefore open to some degree of interpretation. If we accept that Divine Principle does not distinguish force and energy, we can change where we place the words in the passage. So, for example, we could just as easily write:
|
Through the agency of universal prime force, the subject and object elements of every entity form a common base and enter into interaction. This interaction, in turn, generates all the energy the entity needs for existence, multiplication and action. |
This result is, I believe, still a valid interpretation of the text, but it presents a substantially different picture that is now more in accord with classical mechanics. Interestingly, Unification Thought uses the term “universal prime force” rather than the term “universal prime energy” that is found in Divine Principle, so there is some justification for doing this.
Unification Thought’s description of relationship seems to be elaborating on the same general explanation as Divine Principle, and we limit the discussion here to how it adds to the explanation. The description of relationship in Unification Thought begins from the same two sets of dual characteristics as Divine Principle,[11] and gives some additional explanation.
|
The establishment of a reciprocal relationship does not necessarily mean that a give and receive action will take place. In order for a give and receive action to take place, a “common base” must be established. This common base is a reciprocal relationship established centering on a common element, or a common purpose. Thus, correctly speaking, once two parties are engaged in a reciprocal relationship and a common base is formed, give and receive action will take place.[12] |
Unification Thought uses the term “give and receive action,” in contrast to Divine Principle’s “give and take action,” but the meaning is essentially the same: there is an exchange of something between the subject and object in the relationship. Taking the explanation in Divine Principle one step further, Unification Thought conceptually separates the elements of the relationship. The reciprocal relationship just means subject and object coming to the position where they can relate. Then, once there is a center or common purpose (or Heart within God), a common base is established and give-and-receive action can begin.
Separating the elements of relationship in this way begins to explain why Unification Thought seems to be suggesting that the force operating between subject and object is a result rather than a cause of relationship. This is because in this explanation force is part of the exchange between subject and object in the give-and-receive action that comes after a reciprocal relationship has been established. Thus, this view seems significantly different to what we would expect from classical physics (see below).
Just as in Divine Principle, one of the results of give-and-receive action in Unification Thought is motion, particularly circular motion.
|
When, in the created world, two elements or beings in the relationship of subject and object engage in a give and receive action, centering on common purpose, then the result is that both union and motion appear simultaneously.[13] |
Here Dr. Lee gives the examples of atoms and the solar system, and subsequently suggests two types of circular motion.[14] Spatial circular motion is the spatial representation of give-and-receive action, and spiral circular motion is circular motion in time.
Relationship from the Perspective of Physics
As shown above, Unification Thought suggests that give-and-receive action occurs after a reciprocal relationship is established, and that force acting between a subject and object is part of the exchange in the subsequent give and receive action. Moreover, we saw above that in the Original Image, Acting Energy/Prime Force is a result of give-and-receive action. Taken together, these would suggest that Unification Thought sees force to result from relationship. From the perspective of physics there is a major weakness in this description, namely, how can there be a reciprocal relationship prior to the operation of some kind of force? It is likely Unification Thought reserves this role for the action of Universal Prime Force in the created realm, but this point is not clearly made in this context. Further, if this were the case then in order to have a physical effect, Universal Prime Force would have to be a physical force too, but then why distinguish it from normal physical force at all? Dealing with force in terms of fields can give us a different perspective on this matter.
For our consideration of relationship from the perspective of classical physics, let us consider two particles, particle 1 and particle 2. Both particles will be surrounded by a field as a result of the properties of the particle. Here we are considering gravitational or electric fields resulting from the mass (m) or charge (q) of the particles. We can then consider the interaction of particle 1 with the field from particle 2 to give a force (F1,2) acting on particle 1, and the interaction of particle 2 with the field from particle 1 to give a force (F2,1) acting on particle 2. The forces F1,2 and F2,1 are directed along a line joining the center of mass (or center of charge) of each particle. Moreover, following Newton’s third law, we have an action-reaction pair. That is, the force (F1,2) exerted by the field of particle 2 on particle 1 is equal in magnitude but opposite in direction to the force (F2,1) exerted by the field of particle 1 on particle 2. Finally, the magnitude of F1,2 and F2,1 will be given by equation 1 for gravitational interactions and equation 2 for electrostatic interactions.
One interesting thing about this definition of fields is that in principle they extend indefinitely. This means that, in principle, force will be experienced whatever the separation (r) of the two particles,[15] and the two particles could potentially be anywhere in the universe. Moreover since the force experienced drops off rapidly with increasing separation, it quickly becomes small compared to the mass of the particles, and the acceleration it can impart to the particles will also become correspondingly small. These consequences of fields and forces suggest that the experience of force alone is not sufficient to establish a give-and-receive relationship such as described in Unification Thought. Some other criterion of relationship needs to be considered in addition to force. Now, one of the important results of give-and-receive action in Unification Thought is circular motion, where give-and-receive action in results in circular motion of the interacting particles. This circular motion provides us with that additional criterion.
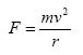
For uniform circular motion[16] of a particle in physics, the particle experiences an acceleration toward the axis of rotation, so, from Newton ’s second law, there must be a force acting on the particle directed toward the center of rotation. For a particle of mass m and speed v at a distance r from the axis of rotation, the force is given by the following equation:
(3)
The acceleration toward the axis is centripetal (center seeking) acceleration, and the force acting on the particle is centripetal force. If the axis is fixed so that it does not move, then from Newton ’s second law there is also a force that acts on the axis outward in the opposite direction. This is commonly called centrifugal force. Divine Principle calls the centrifugal force the “force of giving” and the centripetal force the “force of receiving.”[17]
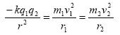
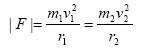
In general, our two particles will experience force from each other, but specifically for give-and-receive action the required criterion is that the force acting between the particles has to be sufficient to cause the particles to revolve around each other. In the general situation of the rotational motion of our two particles, there is not now, however, a fixed axis and the resulting circular motion occurs around the center of mass of the two particles. The center of mass of the particles becomes the axis of rotation. If the center of mass lies outside of either particle, both particles experience centripetal force where the magnitude of this force (|F|) is given by:
(4)
r1 and r2 are the distance of the particles 1 and 2 from the center of mass, and m1, m2 and v1, v2 are the masses and speeds of particles 1 and 2 respectively. There is also now no centrifugal force acting on the axis of rotation. We can conceptually add it, but that part directed toward particle 1 will be equal and opposite to that part directed toward particle 2, with a net force of zero at the center of mass.
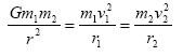
For the gravitational interaction the force acting between two particles is given by equation 1. The magnitude of the force required for the circular motion is given in equation 4 and will be the magnitude of the F1,2 and F2,1 forces. Consequently, combining equations 1 and 4 gives us the criterion for establishing give-and-receive action through gravitation. When we combine the equations we get:
(5)
where . We get a similar expression for the electrostatic interaction between oppositely charged particles by combining equations 2 and 4:
(6)
Equations 5 and 6 give just the general form for the conditions necessary for give-and-receive action derived from classical physics. Specific details, such as the precise values for r and v, require additional considerations of energy and momentum.
When this condition of give-and-receive action is established, the two particles combine into a larger system, or union, and the field of the union is found by a superposition of the forces from each particle on our small test particle. This corresponds to a superposition of the two fields of the individual particles. In some cases, such as in the electrostatic relationship of oppositely charged particles, the fields of the two particles cancel and the union will enter into different kinds of interactions than either of the individual particles.
Discussion of the Perspective from Physics
Subject and Object
In both Divine Principle and Unification Thought the subject and object positions in a relationship are assumed to be existing beings. Further, in the resulting circular motion the subject stands at the center of the relationship and the object is said to rotate around the subject. However this is not necessarily the case in relational circular motion as described by physics. Unless the axis of rotation is somehow fixed in place, it is the center of mass of the resulting union that will form the axis of the circular motion. Moreover in the general situation, the center of mass will lie outside of either particle and there will be no particle at the axis itself.
If we use the establishment of circular motion as the physical criterion for establishing give-and-receive action, then in this general situation there is no definable subject being. Rather, the position of the center of mass of the resulting system, as the center of the circular motion, should be considered to be the yang subject of the relationship. Both particles would then rotate around the position of the center of mass and need to be regarded as the yin object. A subject being can only be identified if one particle (say particle 1) is sufficiently large. As the mass of particle 1 increases relative to particle 2, the distance r1 will decrease. For a particular ratio of masses of the two particles, the distance r1 will become sufficiently small that the center of mass will lie within particle 1. In this case we can identify particle 1 as the subject particle and particle 2 is the object particle. Particle 2 will then rotate around particle 1.
Consequently we only have a clearly defined substantial subject being if the center of mass lies within one of the particles. An example of this would be the sun in our solar system. The sun is sufficiently massive that the center of mass of the solar system lies within the sun. The sun is thus the subject being and the planets object beings. The center of mass thus also fulfills the role of the common element or common purpose that is described in Unification Thought as being essential to forming a common base. The center of mass provides the common center for the relationship, and the subject of the relationship is defined by the position of the center of mass.
Another result of detaching the subject position from a particular particle is that it allows us to deal with relationships that involve more than two particles. These are difficult to deal with in the context of the description in Unification Thought. In the general case of two particles where the center of mass lies outside each particle, there is one center, the center of mass, and both particles are object. We can scale this up to more than two particles, where each particle will experience the superposition of fields from all the other particles and relate to the center of mass of the union. So there will be one center with potentially many particles as object, but still one subject-object relationship.
Though we are here talking about physics, this view of relationship derived from physics has applications beyond just purely physical systems. For example it can also apply to social relationships. In social institutions and relationships, the generally accepted interpretation of Divine Principle and Unification Thought is that the subject position must be a person and that the position of the center of the social circular motion is defined by that person. However in the general case of the explanation from physics, the center of the circular motion is not necessarily fixed into one of the parties to the relationship and the center is the center of mass of the resulting system. In this case all parties to the relationship contribute to defining the “center of mass” of the resulting union, not just one person in the subject position. Further, so long as there is common purpose there is no absolute requirement for a person to be at the center at all. Democratic societies provide an interesting example. Though there is a central person, for example the president in the United States , that person does not define the center but rather is the candidate closest to the center of “mass” of public opinion on Election Day. The actual center is defined by the collective whole. Disconnecting the center of the resulting union from any one existing being in this manner leads to a more flexible description of relationship in general.
Universal Prime Force
Another important consideration that arises from this picture concerns force. Since fields extend indefinitely, particles anywhere in the universe will experience some force from interaction with those fields.[18] Force is thus all pervasive throughout the universe and connects all existing particles. Moreover this experience of force is the beginning point of, and a prerequisite for, give-and-receive relationships. In many ways this operation of force in all its forms seems to fit the role reserved for Universal Prime Force in Unification Thought, in initiating and guiding relationships. This picture from physics, in turn, suggests that Universal Prime Force is not some additional, or pre-existing, constituent to created existence, but is rather the general experience of force on a particle from the superposition of the fields of all other extant particles. Universal Prime Force is thus specific to a given particle and its position in the universe.
At first glance this view of Universal Prime Force seems quite different to the position of Divine Principle. This is because Divine Principle suggests that universal prime energy [force] is also the energy [force] of God’s existence.[19] How could force acting in interactions between particles and fields, and that is integral to physical existence, also act within God? Here Unification Thought makes a distinction not found in Divine Principle that helps us explain this point.
|
Acting energy is that energy which acts upon all things and is manifested as the force that causes give and receive action (i.e. centripetal force and centrifugal force) among all things. This causal force is called “Prime Force” in Unification Thought. When Prime Force acts horizontally as the acting force among all things it is called “Universal Prime Force.”[20] |
Acting energy, a result of give-and-receive action in the Original Image, is part of the Original Image. The exact status of Prime Force is somewhat unclear,[21] but probably is also part of the Original Image. On the other hand, Universal Prime Force is clearly identified as acting between existing things rather than within the Original Image. Unification Thought thus appears to make a distinction between force in God—Prime Force—and force in the created realm—Universal Prime Force. This distinction is not found in Divine Principle, but is in accord with the view of Universal Prime Force derived here that would also place its action in the created realm.
Finally, it should be noted that in Divine Principle and Unification Thought, Universal Prime Force is more than just physical force. It is seen to convey a unifying purpose to relationship along with a connection to God’s Will. Physical particles are hyungsang and in this paper we are dealing with circular motion of hyungsang. Consequently, force acting between physical particles is part of hyungsang and constitutes a hyungsang aspect of Universal Prime Force. Now, Divine Principle also suggests there is circular motion within sungsang.[22] Therefore we might expect there to be a sungsang aspect to Universal Prime Force analogously operating in that circular motion within sungsang. This sungsang aspect of Universal Prime Force would begin to address issues beyond physical force. It is, however, beyond the scope of the current work, and will probably involve an investigation of the relationship between information and matter.
Conclusion
Examining the relational constructs of Unification Thought from the perspective of fundamental concepts from classical physics has proved an interesting exercise. Making a connection between the mathematics of physics and the understanding of relationship in Unification Thought is a small step to bridging the mathematical divide between scientific and religious thought. In religious thought mathematics is noticeably absent, whereas scientific thought, especially physics, depends on it. Using the concept of relationship in Unification Thought, particularly that of circular motion, it is possible to establish a mathematical connection between relationship in Unification Thought and classical physics. Doing so leads to two major conclusions for relationship.
First, physics allows the center of the circular motion resulting from a relationship to be independent of a particular particle. This is quite different to the assumption of Unification Thought, but I believe gives a description closer to what we actually observe in existing relationships, including social relationships.
Second, the concept of force arising from interaction of a particle with a field leads to a different understanding of force than that presented in Unification Thought. In physics force is more a cause of relationship rather than a result of it, and the common experience of force initiating and guiding relationships provides a good description of what is meant by Universal Prime Force in Unification Thought. The difference of the explanation from physics to that of Unification Thought is probably in part due to the lack of clear distinction between force and energy in Unification Thought.
In the light of the results presented here, maintaining this distinction between force and energy would seem to be an important consideration for Unification Thought in general. If we do make this distinction, there will be ramifications for the structure of the thought, including, but not limited to, the Original Image. We pointed out the lack of clear distinction between acting energy and Prime Force. Moreover, acting energy is said to result from, rather than cause, give-and-receive relationships. This would fit the general pattern of the description of relationship in Unification Thought, where force only operates after a reciprocal relationship is established. However, in order to maintain the distinction between force and energy, some modification of terminology is suggested.
Probably the simplest solution derived from the discussion here is that since God is the source of both energy and force, the energy of His being we could call Prime Energy, and the force that causes relationship in the Original Image we could call Prime Force. This would replace the terms acting energy and forming energy and remove the ambiguity currently found in the terms acting energy and Prime Force. Also, since force in general causes reciprocal relationship, in the view developed here from physics, we probably should not regard Prime Force as resulting from give-and-receive action in the Original Image. Rather, just as force (Universal Prime Force) pervades the physical universe from interactions of the particles in the universe with fields, Prime Force would pervade the original image, establishing reciprocal relationship and give-and-receive action.
Though the results presented here are a first step, this paper has only examined half of the equation, namely that of force. In order to draw a more definitive and complete conclusion we also need to examine the concepts of energy and work in the context of relationship, where work establishes the connection between force and energy. This will hopefully begin to allow some resolution of issues in Unification Thought arising from the lack of distinction of force and energy.
Notes
[1] See David Burton, “What is the Matter? Understandings of Matter in Unification Thought and Modern Physics,” Journal of Unification Studies 6 ( 2004-2005): 143ff.
[2] In this paper I limit the term classical physics to pre-relativistic physics. Relativity is a classical theory but it has counter intuitive aspects that will not be addressed here.
[3] The situation is more complex for magnetism because we do not find particles with a single magnetic pole (or monopole) and magnetic fields arise from moving charged particles.
[4] For a spherical field surrounding a particle in three spatial dimensions the field strength at a distance r from a particle depends on the surface area of a sphere of radius r. The field strength decreases as the surface of the sphere increases, and since the surface area depends on r2 the field strength drops by 1/r2.
[5] Exposition of the Divine Principle (Seoul: Sung Hwa, 1996), 22.
[6] Sang Hun Lee, New Essentials of Unification Thought ( Tokyo : Kogensha, 2006), 128.
[7] Ibid. 128.
[8] Ibid. 8.
[9] Exposition, 22.
[10] Ibid. 28.
[11] The description of these dual characteristics in Unification Thought is a little different to Divine Principle due to Unification Thought incorporating some concepts derived from traditional Christian ontology.
[12] New Essentials, 40.
[13] Ibid. 133.
[14] Ibid. 137.
[15] We also see this in the calculation of the potential energy of a particle in a field where the work needed to move a particle from an infinite separation to a finite separation is considered.
[16] I am considering the simplest case of uniform circular motion. Many physical situations result in elliptical motion, such as in the orbits of the planets around the sun. The same general considerations will nevertheless still apply.
[17] Exposition, 26.
[18] Strictly at this cosmic scale the simple picture from classical physics is no longer completely adequate and we need to consider Relativity. However this point is not essential for our intuitive explanation at the human scale.
[19] Exposition, 21.
[20] New Essentials, 8.
[21] Different English Unification Thought texts also give somewhat different explanations for Prime Force adding to the uncertainty in its explanation.
[22] Exposition, 27-28.
